全球最实用的IT互联网信息网站!

AI人工智能P2P分享&下载搜索网页发布信息网站地图

当前位置:诺佳网 > 电子/半导体 > MEMS传感器 >

使用一维位置传感器测量第二个轴

时间:2023-04-20 09:30

人气:

作者:admin

标签:

导读:使用我们的电感式位置传感器LX3302A,您可以添加第二个轴的测量。在描述如何完成之后,我们将介绍在您的两轴传感器设计中实现它的步骤。...

如何测量二维

电感式位置传感器可以精确测量金属目标的旋转或线性位置。与其他磁场传感器不同,它们不需要磁性目标。相反,它们使用替代磁场在金属目标中感应磁场,然后能够精确测量目标的位置。这个目标可以是任何金属,但最好的目标是铜、铝或不锈钢。虽然它们非常适合测量线性距离和旋转角度,但有时在应用中需要多个维度。为了进行精确测量,可以添加第二个电感式位置传感器来测量这个额外的轴,但第二个轴并不总是需要相同水平的精度,例如,具有按钮功能的旋钮或具有手动换档功能的汽车换档器,通过将齿轮向左或向右拉动。在任一情况下,具有一定余量的阈值都是可以接受的。

使用我们的电感式位置传感器LX3302A,您可以添加第二个轴的测量。在描述如何完成之后,我们将介绍在您的两轴传感器设计中实现它的步骤。

我们的电感式位置传感器如何测量第二个维度

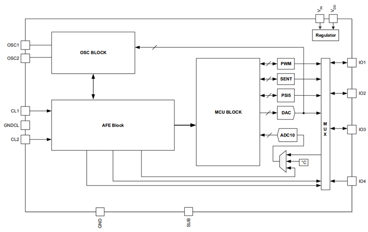
Microchip独特地使用带有电感式传感器的快速连续自动增益控制(AGC)电路,有助于提供准确的测量,并实现第二轴测量。下图显示了电感式位置传感器的框图和AGC的操作。磁场由 OSC1 和 OSC2 信号引入金属目标。接收信号CL1和CL2被解调以表示Raw Sin(x)和Raw Cos(x),其中x表示角度或位置。这些信号的幅度由固定输入范围的模数转换器ADC)读取,以将信号转换为数字域。然后,微控制器可以使用sin(x)和Cos(x)值确定精确的角度或位置x,以计算arctan(x)以及其他校准算法

pYYBAGRAnB6ATZNrAAARgaa_zNM822.png

为了最大限度地提高这些ADC读数的分辨率,调整AGC以确保Sin(x)和Cos(x)的峰值在不同的信号强度下保持在ADC的最大范围内。它通过控制 OSC1 和 OSC2 振幅来实现这一点

pYYBAGRAnCSAJt1IAAF-qr1cc_8597.png

图1.电感式位置传感器的模拟前端(AFE)框图

使用以下三角恒等式作为控制律:

poYBAGRAnCqAcIyzAAAMesxfoqc352.png

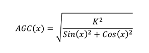
其中x表示和旋转角度或测量的距离。AGC(x) 然后由以下公式计算:

poYBAGRAnDCAQpdjAAASYF1keAM353.png

其中AGC(x)是每个角度或位置x处的增益,K是由电路定义的恒定半径。控制律和框图说明,随着目标距离的调整,接收到的信号CL1和CL2不会增加或减少,因为AGC(x)会自动变化以保持sin(x)和cos(x)信号的峰值恒定,以便ADC读取。我们将使用此AGC(x)增益来提供仅使用一个电感式位置传感器集成电路(IC)的第二个测量轴。

传感器目标距离变化增益

如果没有AGC,CL1和CL2的接收信号强度会随着气隙而变化。从概念上讲,由于传感器和金属目标之间的气隙较大,OSC1和OSC2产生的磁场不会在金属目标中感应出那么多的磁场,CL1和CL2将接收较少的信号。然而,通过实施这种连续AGC,我们现在可以直接测量传感器和目标之间的气隙或距离。只要可以调整传感器机械设计以利用此气隙,就可以使用第二个轴(即z轴)。下一个问题是:我们如何衡量这种收益?

用于救援的 10 位 ADC

Microchip的LX3302A、LX3301A和LX34211具有10位ADC以提供动态校准。它通过测量振荡器电压的幅度(代表增益)进行动态校准,并用它来补偿不同AGC增益下非理想传感器的失调电压。传感器偏移定义为Sin(x)或Cos(x)信号中不存在的不需要的恒定电压的添加:

poYBAGRAnDqAMb3zAAAUnAjCkLU777.png

LX3302A具有特殊的单边沿半字节传输(SENT)模式,可传输此ADC 10位增益信息以及主轴位置信息。

使用更多 SENT 通道带宽

LX3302A是一款多功能IC,具有四种不同的方法与外部主机微控制器或计算机接口。它可以输出模拟,PWM,SENT或PSI5值的传感器输出,如框图吹所示。您还可以看到与测量振荡器电压的AFE模块的10位ADC连接。

pYYBAGRAnEGAA5vaAACMUr6UaAg937.png

LX3302A的单边半字节传输(SENT)是输出接口之一,是一种可靠的抗噪声通信方法。SENT 协议有两个快速 12 位通道和一个用于传输信息的慢速 12 位通道。LX3302A SENT 模式 (FCM = 0100) 利用第二个快速通道发送此 10 位 ADC 振荡器电压,同时还通过第一个快速通道传输精确的位置信息。10位(0-1024)ADC值通过第二个快速通道传输。

然后,主机微控制器可以使用此信息来确定AGC的增益和气隙,并测量第二个运动轴。LX3302A的应用笔记展示了即使微控制器没有本机SENT外设,如何使用微控制器读取此SENT信息。总之,关于我们之前的示例,带有按钮指示器的旋钮可以使用气隙变化来检测用户何时按下旋钮。

实际考虑

精确的传感器将具有非常小的传感器偏移(即Offsin= Offcos = 0),但有时很难实现。使用动态校准,这些传感器也可以是准确的,但振荡器电压最终会在测量范围内移动。这些传感器也可以使用此AGC增益来检测次轴运动,但可能需要利用位置传感器信息。在一个极端的例子中,下面的线性传感器有一个异常大的偏移,从测量范围内的振荡器电压可以看出。测量了三种不同的气隙。

poYBAGRAnEqAPupuAAJmKRCzhlQ711.png

图2.具有大失调电压的传感器

即使在这些条件下,使用位置信息也可以检测到气隙。如果目标是检测气隙何时下降到6.5 mm以下并具有一定的裕量,则可以选择位置上的10位ADC值,该值大约适合6 mm气隙曲线。例如,在测量位置5,如果ADC 10位值小于340,则气隙小于6 mm。在位置15处,ADC 10位值减去550时,将检测到相同的6 mm气隙。

使用主机微控制器,以下气隙阈值曲线可以作为这种极端条件的示例,即使用具有大量偏移的传感器实现此次轴测量。

poYBAGRAnFGAMvukAAK8aGTeYtc047.png

图3.对辅助轴阈值使用可变阈值

使用上述方法,您可以使用Microchip电感式位置传感器的快速连续调整AGC回路来记录第二个测量轴。

审核编辑:郭婷

温馨提示:以上内容整理于网络,仅供参考,如果对您有帮助,留下您的阅读感言吧!
相关阅读
本类排行
相关标签
本类推荐

CPU | 内存 | 硬盘 | 显卡 | 显示器 | 主板 | 电源 | 键鼠 | 网站地图

Copyright © 2025-2035 诺佳网 版权所有 备案号:赣ICP备2025066733号
本站资料均来源互联网收集整理,作品版权归作者所有,如果侵犯了您的版权,请跟我们联系。

关注微信