全球最实用的IT互联网信息网站!

AI人工智能P2P分享&下载搜索网页发布信息网站地图

当前位置:诺佳网 > 电子/半导体 > MEMS传感器 >

最全滤波器分类及原理解析

时间:2017-12-24 09:24

人气:

作者:admin

标签:

导读:滤波器是一种选频装置,可以使信号中特定的频率成分通过,而极大地衰减其他频率成分。利用滤波器的这种选频作用,可以滤除干扰噪声或进行频谱分析。换句话说,凡是可以使信号...

滤波器是一种选频装置,可以使信号中特定的频率成分通过,而极大地衰减其他频率成分。利用滤波器的这种选频作用,可以滤除干扰噪声或进行频谱分析。换句话说,凡是可以使信号中特定的频率成分通过,而极大地衰减或抑制其他频率成分的装置或系统都称之为滤波器。

滤波的概念

滤波是信号处理中的一个重要概念,滤波电路的作用是尽可能减小脉动的直流电压中的交流成分,保留其直流成分,使输出电压纹波系数降低,波形变得比较平滑。

一般来说,滤波分为经典滤波和现代滤波。

经典滤波是根据傅里叶分析和变换提出的一个工程概念,根据高等数学理论,任何一个满足一定条件的信号,都可以被看成是由无限个正弦波叠加而成。

换句话说,就是工程信号是不同频率的正弦波线性叠加而成的,组成信号的不同频率的正弦波叫做信号的频率成分或叫做谐波成分。只允许一定频率范围内的信号成分正常通过,而阻止另一部分频率成分通过的电路,叫做经典滤波器或滤波电路。

在经典滤波和现代滤波中,滤波器模型其实是一样的(硬件方面的滤波器其实进展并不大),但现代滤波还加入了数字滤波的很多概念。

滤波电路的原理

当流过电感的电流变化时,电感线圈中产生的感应电动势将阻止电流的变化。当通过电感线圈的电流增大时,电感线圈产生的自感电动势与电流方向相反,阻止电流的增加,同时将一部分电能转化成磁场能存储于电感之中;当通过电感线圈的电流减小时,自感电动势与电流方向相同,阻止电流的减小,同时释放出存储的能量,以补偿电流的减小。

因此经电感滤波后,不但负载电流及电压的脉动减小,波形变得平滑,而且整流二极管的导通角增大。

在电感线圈不变的情况下,负载电阻愈小,输出电压的交流分量愈小。只有在RL>>ωL时才能获得较好的滤波效果。L愈大,滤波效果愈好。

滤波器的作用

1、将有用的信号与噪声分离,提高信号的抗干扰性及信噪比;

2、滤掉不感兴趣的频率成分,提高分析精度;

3、从复杂频率成分中分离出单一的频率分量。

理想滤波器与实际滤波器

理想滤波器

使通带内信号的幅值和相位都不失真,阻喧内的频率成分都衰减为零的滤波器,其通带和阻带之间有明显的分界线。

如理想低通滤波器的频率响应函数为:

实际滤波器

理想滤波器是不存在的,在实际滤波器的幅频特性图中,通带和阻带之间应没有严格的界限。在通带和阻带之间存在一个过渡带。在过渡带内的频率成分不会被完全抑制,只会受到不同程度的衰减。

当然,希望过渡带越窄越好,也就是希望对通带外的频率成分衰减得越快、越多越好。因此,在设计实际滤波器时,总是通过各种方法使其尽量逼近理想滤波器。

如上理想带通和实际带通滤波器的幅频特性图可见,理想滤波器的特性只需用截止频率描述,而实际滤波器的特性曲线无明显的转折点,两截止频率之间的幅频特性也非常数,故需用更多参数来描述。

1、纹波幅度d

在一定频率范围内,实际滤波器的幅频特性可能呈波纹变化,其波动幅度d与幅频特性的平均值A0相比,越小越好,一般应远小于-3dB。

2、截止频率fc

幅频特性值等于0.707A0所对应的频率称为滤波器的截止频率。以A0为参考值,0.707A0对应于-3dB点,即相对于A0衰减3dB。若以信号的幅值平方表示信号功率,则所对应的点正好是半功率点。

3、带宽B和品质因数Q值

上下两截止频率之间的频率范围称为滤波器带宽,或-3dB带宽,单位为Hz。带宽决定着滤波器分离信号中相邻频率成分的能力——频率分辨力。在电工学中,通常用Q代表谐振回路的品质因数。

在二阶振荡环节中,Q值相当于谐振点的幅值增益系数, Q=1/2ξ(ξ——阻尼率)。对于带通滤波器,通常把中心频率f0( )和带宽 B之比称为滤波器的品质因数Q。例如一个中心频率为500Hz的滤波器,若其中-3dB带宽为10Hz,则称其Q值为50。Q值越大,表明滤波器频率分辨力越高。

4、倍频程选择性W

在两截止频率外侧,实际滤波器有一个过渡带,这个过渡带的幅频曲线倾斜程度表明了幅频特性衰减的快慢,它决定着滤波器对带宽外频率成分衰阻的能力。

通常用倍频程选择性来表征。所谓倍频程选择性,是指在上截止频率fc2与 2fc2之间,或者在下截止频率fc1与fc1/2之间幅频特性的衰减值,即频率变化一个倍频程时的衰减量或倍频程衰减量以dB/oct表示(octave,倍频程)。

显然,衰减越快(即W值越大),滤波器的选择性越好。对于远离截止频率的衰减率也可用10倍频程衰减数表示之。即[dB/10oct]。

5、滤波器因数(或矩形系数)

滤波器因数是滤波器选择性的另一种表示方式 ,它是利用滤波器幅频特性的 -60dB带宽与-3dB带宽的比值来衡量滤波器选择性。理想滤波器=1,常用滤波器=1-5,显然, 越接近于1,滤波器选择性越好。

滤波器的分类

根据滤波器的选频作用分类

低通滤波器

从0~f2频率之间,幅频特性平直,它可以使信号中低于f2的频率成分几乎不受衰减地通过,而高于f2的频率成分受到极大地衰减。

高通滤波器

与低通滤波相反,从频率f1~∞,其幅频特性平直。它使信号中高于f1的频率成分几乎不受衰减地通过,而低于f1的频率成分将受到极大地衰减。

带通滤波器

它的通频带在f1~f2之间。它使信号中高于f1而低于f2的频率成分可以不受衰减地通过,而其它成分受到衰减。

带阻滤波器

与带通滤波相反,阻带在频率f1~f2之间。它使信号中高于f1而低于f2的频率成分受到衰减,其余频率成分的信号几乎不受衰减地通过。

低通滤波器和高通滤波器是滤波器的两种最基本的形式,其它的滤波器都可以分解为这两种类型的滤波器,例如:低通滤波器与高通滤波器的串联为带通滤波器,低通滤波器与高通滤波器的并联为带阻滤波器。

低通滤波器与高通滤波器的串联

低通滤波器与高通滤波器的并联

根据“最佳逼近特性”标准分类

巴特沃斯滤波器

从幅频特性提出要求,而不考虑相频特性。巴特沃斯滤波器具有最大平坦幅度特性,其幅频响应表达式为:

切贝雪夫滤波器

切贝雪夫滤波器也是从幅频特性方面提出逼近要求的,其幅频响应表达式为:

ε是决定通带波纹大小的系数,波纹的产生是由于实际滤波网络中含有电抗元件;Tn是第一类切贝雪夫多项式。

与巴特沃斯逼近特性相比较,这种特性虽然在通带内有起伏,但对同样的n值在进入阻带以后衰减更陡峭,更接近理想情况。ε值越小,通带起伏越小,截止频率点衰减的分贝值也越小,但进入阻带后衰减特性变化缓慢。

切贝雪夫滤波器与巴特沃斯滤波器进行比较,切贝雪夫滤波器的通带有波纹,过渡带轻陡直,因此,在不允许通带内有纹波的情况下,巴特沃斯型更可取;从相频响应来看,巴特沃斯型要优于切贝雪夫型,通过上面二图比较可以看出,前者的相频响应更接近于直线。

贝塞尔滤波器

贝塞尔滤波器又称最平时延或恒时延滤波器。其相移和频率成正比,即为一线性关系。但是由于它的幅频特性欠佳,而往往限制了它的应用。

按所采用的元器件分为无源和有源滤波器

无源滤波器

无源滤波器仅由无源元件组成的滤波器,它是利用电容和电感元件的电抗随频率的变化而变化的原理构成的。

这类滤波器的优点是:电路比较简单,不需要直流电源供电,可靠性高;

缺点是:通带内的信号有能量损耗,负载效应比较明显,使用电感元件时容易引起电磁感应,当电感L较大时滤波器的体积和重量都比较大,在低频域不适用。

有源滤波器

有源滤波器由无源元件和有源器件组成。

这类滤波器的优点是:通带内的信号不仅没有能量损耗,而且还可以放大,负载效应不明显,多级相联时相互影响很小,利用级联的简单方法很容易构成高阶滤波器,并且滤波器的体积小、重量轻、不需要磁屏蔽;

缺点是:通带范围受有源器件的带宽限制,需要直流电源供电,可靠性不如无源滤波器高,在高压、高频、大功率的场合不适用。

按所处理的信号分为模拟滤波器和数字滤波器

数字滤波器基本原理

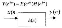
导入数字滤波器的信号处理过程示于图。其中模拟信号(连续信号)

必须利用采样定理(sampling theorem)进行采样。输入信号经过模拟低通滤波即抗折叠滤波器(anti-aliasing filter)去掉输入信号中的高频分量。经过平滑化的模拟信号再用于采样。另外D-A转换后模拟信号要经过平滑滤波器(smoothing filter)进行平滑处理,该工作可用模拟低通滤波器来完成。

另外,数字通信中使用的数字均衡器(digital equalizer)也可以视作一种数字滤波器,但是用数字均衡器直接进行数字信号处理时,就不再需要图中的A-D转换器和D-A转换器。

所谓数字滤波器,就是把输入序列通过一定的运算变换成输出序列。如上图所示。其时域输入输出关系是

若x(n) ,y (n)的傅里叶变换存在,则输入输出的频域关系是

假定|X(ejw)|,|H(ejw)|如图中(a),(b)所示,则由式得|Y(ejw)|如图(c)所示。

这样,x(n)通过系统h(n)的结果是使得输出y(n)中不再含有|w|>wc的频率部分,而使|w|

数字滤波器的主要特点:

1、数字滤波器对外界环境不太敏感,具有更高的可靠性。

2、数字滤波器可以实现精确的线性相位和多速率处理等模拟滤波器无法实现的功能。

3、数字滤波器只要提高字长,可以实现任意精度的信号处理。

4、数字滤波器实现更加灵活,并能同时进行信号的存储。

5、数字处理的信号的频域宽度要受到采样率的限制。

数字滤波器与模拟滤波器的主要区别

1、数字滤波器用于离散系统,模拟滤波器用于连续时间系统,也可以用在离散时间系统中,比如SC(开关电容)滤波器。

2、数字滤波器由数字乘法器、加法器和延时单元组成的一种算法或装置。数字滤波器的功能是对输入离散信号的数字代码进行运算处理,以达到改变信号频谱的目的。

数字滤波器可用计算机软件实现,也可用大规模集成数字硬件实现。模拟滤波器有有源和无源的,有源滤波器主要是有运放,或者跨到运放,及电阻,电容构成。无源的滤波器主要是R,L,C构成。模拟滤波器会有电压漂移、温度漂移和噪声等问题,而数字滤波器不存在这些问题,因而可以达到很高的稳定度和精度。

3、从实现手段上看,模拟滤波器一般用电容,电感这些模拟器件搭建的,数字滤波器可以通过软件或者数字芯片来实现。模拟滤波器参数改变时要更换电容、电感,很麻烦。数字滤波器参数改变时有时只需要修改一下系数就可以做到了(如软件实现时)。

4、从技术指标上看,举个例子模拟滤波器要达到-60dB就非常困难了,而数字滤波器可以比较容易地达到这个指标。

5、模拟滤波器和数字滤波器最大的区别是数字滤波器关于Fs/2频率是翻转的,也就是对称的;而模拟滤波器不是。所以在DAC之中会选择大量插值滤波,把镜频频率放到很远的频点上,之后在射频段用声表这样的模拟滤波器滤掉镜频。所以数字模拟滤波器缺一不可。

6、模拟滤波器与数字滤波器的表达方式不同:模拟滤波器用H(S)表示,而数字滤波器用H(Z)表示。模拟滤波器是以幅频特性的逼近为主,而数字滤波器则可以实现相位的匹配。

温馨提示:以上内容整理于网络,仅供参考,如果对您有帮助,留下您的阅读感言吧!
相关阅读
本类排行
相关标签
本类推荐

CPU | 内存 | 硬盘 | 显卡 | 显示器 | 主板 | 电源 | 键鼠 | 网站地图

Copyright © 2025-2035 诺佳网 版权所有 备案号:赣ICP备2025066733号
本站资料均来源互联网收集整理,作品版权归作者所有,如果侵犯了您的版权,请跟我们联系。

关注微信