全球最实用的IT互联网信息网站!

AI人工智能P2P分享&下载搜索网页发布信息网站地图

当前位置:诺佳网 > 电子/半导体 > MEMS传感器 >

步进频率脉冲信号解析

时间:2023-04-19 15:46

人气:

作者:admin

标签:

导读:步进频率脉冲信号包括若干个脉冲,每个脉冲的工作频率是在中心频率基础上以均匀步进,且每个子脉冲可以是单载频脉冲,也可以是频率调制脉冲。...

步进频率信号(Stepped-Frequency Waveform, SFW)是一类 宽带雷达信号

步进频率脉冲信号包括若干个脉冲,每个脉冲的工作频率是在中心频率基础上以均匀步进,且每个子脉冲可以是单载频脉冲,也可以是频率调制脉冲。

子脉冲为单载频脉冲的步进频率往往称为 步进频率(跳频)脉冲信号 ,而子脉冲采用线性频率调制的步进频率信号则称为 调频步进信号 。步进频率脉冲信号也属于相参脉冲串信号。

步进频率(跳频)脉冲信号

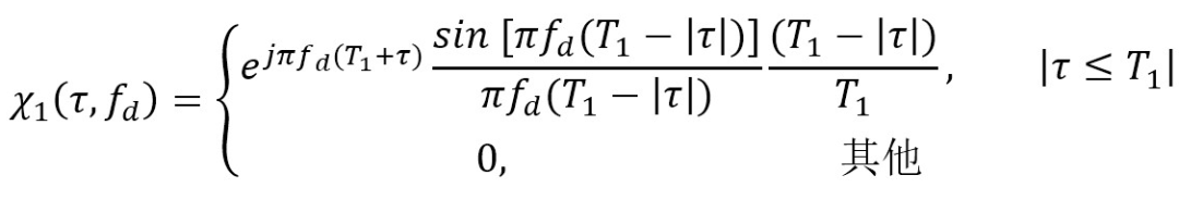
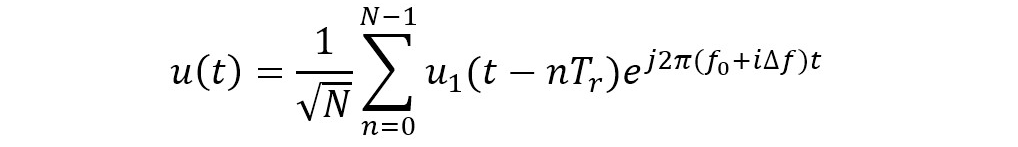
步进频率(跳频)脉冲信号可表示为

图片

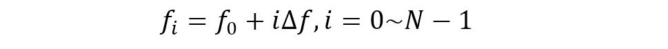
其中 为子脉冲包络; 为子脉冲宽度, 为脉冲重复周期; 为子脉冲个数;步进频率信号的第 个子脉冲的载频是

图片

是一个固定频率,且频率步进量 ,这种波形的时宽带宽积为

图片

下图所示为步进频率信号的频率随时间的变化规律

图片

模糊函数

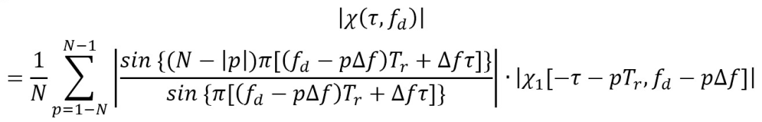
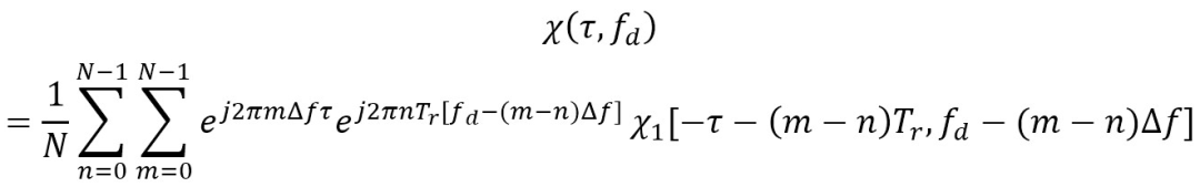
将信号的复包络代入模糊函数的定义式中,经简化得到步进频率信号的模糊函数为

图片

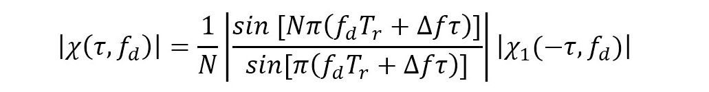
取 ,进一步化简上式,可得步进频率脉冲信号的模糊函数为

图片

其中

图片

为子脉冲的负型模糊函数。

在实际应用中,目标回波的时延 ,即 目标位于雷达的不模糊探测距离内 。为考察信号的高分辨性能,更关心的是中心模糊带特别是模糊图中心主瓣的形状。

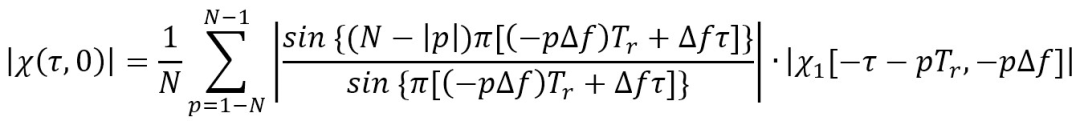
令上式中的 ,即可得到步进频率信号模糊函数中心模糊带的表达式

图片

步进频率信号模糊函数主瓣类似 线性调频信号 ,为“ 斜刀刃 ”形,因而存在距离—多普勒耦合 现象

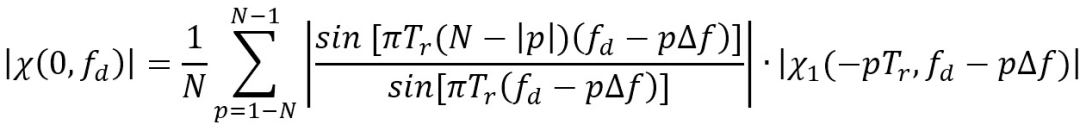
令步进频率信号模糊函数式中 ,信号的距离模糊函数为

图片

当 时,其主瓣为

图片

由上式可见,其 **主瓣包络似为 函数,主瓣的 宽度为 ** 。

步进频率(跳频)信号的时延分辨常数 ,信号有效相关带宽 。因此,**步进频率信号的距离分辨率取决于跳频总带宽 ** 。

同样在步进频率信号模糊函数式中令 ,得到信号的多普勒模糊函数为

图片

其主瓣为

图片

由上式知,步进频率信号的多普勒名义分辨率为 ,频移分辨常数 ,信号有效相关时宽 。

步进频率信号的距离模糊函数和多普勒模糊函数如下图所示。

图片

从上图可以看出, 步进频率脉冲信号的模糊函数存在距离—多普勒耦合现象 。为了使得模糊函数的主瓣接近于理想的“ 图钉 ”形的响应,步进频率脉冲信号 在不增加信号的发射瞬时带宽的前提下通过多个脉冲的相参合成处理实现高距离分辨率(High Range resolution, HRR)。

接收机的瞬时带宽只需与子脉冲带宽相匹配 ,这要比线性调频信号的带宽小得多,因此,步进频率信号对雷达的 工作带宽要求相对于线性调频信号可大大降低 。但多脉冲相参合成需要脉冲之间保持严格的相位关系,这就要求雷达具有良好的相参性。

由于步进频率脉冲信号具有 很高的距离分辨率 ,因而常用于 对目标进行成像 。考虑相参积累形成一幅距离像的时间较长,为了尽量减少目标姿态变化的影响,雷达一般应工作于 高重频状态

温馨提示:以上内容整理于网络,仅供参考,如果对您有帮助,留下您的阅读感言吧!
相关阅读
本类排行
相关标签
本类推荐

CPU | 内存 | 硬盘 | 显卡 | 显示器 | 主板 | 电源 | 键鼠 | 网站地图

Copyright © 2025-2035 诺佳网 版权所有 备案号:赣ICP备2025066733号
本站资料均来源互联网收集整理,作品版权归作者所有,如果侵犯了您的版权,请跟我们联系。

关注微信