全球最实用的IT互联网信息网站!

AI人工智能P2P分享&下载搜索网页发布信息网站地图

当前位置:诺佳网 > 电子/半导体 > MEMS传感器 >

脉冲雷达信号处理概述

时间:2023-04-19 17:43

人气:

作者:admin

标签:

导读:对于信号处理来说,雷达和通信一直是一体两面,从MIMO通信到MIMO雷达,从OFDM通信到Multicarrier雷达,很多通信和雷达领域的前沿技术都存在事实上的相互影响。本篇文章将会介绍刘凡博...

编者:对于信号处理来说,雷达和通信一直是一体两面,从MIMO通信到MIMO雷达,从OFDM通信到Multicarrier雷达,很多通信和雷达领域的前沿技术都存在事实上的相互影响。本篇文章将会介绍刘凡博士在IEEE Communications Letters发表的系列约稿里的第一篇,雷达基本原理。在此感谢刘凡博士不辞劳苦的中文翻译工作,以及在雷达领域科普的精神和努力

本文旨在面向通信背景的读者简明扼要地概括脉冲雷达信号处 理中的基本问题和方法

由于篇幅所限,本文将不会对相关问题做深入讨论。有兴趣的读者可以进一步阅读本文后面的参考文献。

图片脉冲雷达基本模型

1. 基本原理

如上图所示,脉冲式雷达的基本工作流程,我们可以做如下阐述:

雷达首先发射一个探测脉冲,脉冲信号到达目标后被目标反射至雷达端。这一回波中包含了目标距离、速度、角度等参数信息。雷达的任务是对回波进行处理提取出目标信息,从而对目标进行定位或跟踪。

由于雷达周期性地发射信号并接收回波,这一发射-接收循环通常被称为脉冲重复周期(Pulse Repetition Interval, PRI)。类似地,一秒钟发射的脉冲个数被定义为脉冲重复频率(Pulse Repetition Frequency, PRF)。

图片

配图仅为示意

那么延续前文思路,我们如何给出简洁的雷达建模?

1681896730(1).png

1681896753(1).png

1681896781(1).png

注意:除了噪声以外,雷达还会收到来自其他方位的干扰信号。这些干扰可以来自其他信号源,也可以是不感兴趣的目标或者障碍物反射至雷达的回波。一般将后者称为 杂波 (Clutter) 。通常需要对杂波进行抑制,以免对感兴趣的目标造成干扰。

受限于篇幅,我们将不在此文中讨论杂波抑制问题。

2.目标检测问题

通常我们认为,雷达信号处理关心两类基本问题: 检测 (Detection)和 估计 (Estimation)。

其中,最简单的检测问题一般只考虑目标是否存在,通常可以建模为如下二元假设检验(Binary Hypothesis Testing):

1681896841(1).png

1681896981(1).png

那么如何求解呢?

1681896869(1).png

这一过程可以表示为

1681897016(1).png

1681897079(1).png

常用的检测器包括似然比检验(Likelihood Ratio Test, LRT),广义似然比检验(Generalized Likelihood Ratio Test, GLRT),Rao检验(Rao Test)和Wald检验(Wald Test)等。

此外,为衡量目标检测的好坏,人们提出了多种评价指标来描述检测器的性能,最为常用的是检测概率(Detection Probability)和虚警概率(False-Alarm Probability)。

1681897220(1).png

1681897239(1).png

除以上概率指标外,通常还关心所谓的 漏警概率 (False-Dismissal Probability),即存在目标但雷达判断目标不存在的概率,可记为1681897262(1).png

注意相比于漏警,虚警对雷达造成的伤害更大。因为一旦判断目标存在,雷达就要动用硬件和信号处理资源来对目标进行进一步探测与跟踪,虚警情形下,这将造成雷达资源的严重浪费。

有鉴于此,目标检测器的设计通常需要遵循所谓的奈曼-皮尔逊准则(Neyman-Pearson Criterion)。简言之,即在给定最小可容忍恒虚警概率的条件下最大化检测概率。

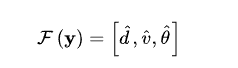
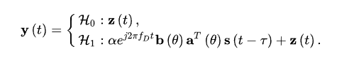
3. 参数估计问题

1681896668(1).png

1681896622(1).png

1681896589(1).png

在实际情况中,一般需要针对这些参数设计独立的估计器,我们分别对此进行阐述。

1681896540(1).png

  • 对于速度估计,由于单个脉冲持续时间较短,其多普勒相移难以识别,通常需要接收多个脉冲的回波确保多普勒相移积累得足够大,再通过快速傅里叶变换(Fast Fourier Transform, FFT)来估计多普勒频率。这部分称为慢时间(Slow-Time)信号处理,即以一个脉冲对应一个慢时间单位的脉冲间信号处理。
  • 对于角度估计,可以采用经典的基于子空间的到达角估计算法,例如MUSIC或者ESPIRIT。

估计器的性能通常可以用均方误差(Mean Squared Error, MSE)进行描述。以角度估计为例,其均方误差定义为

1681896311(1).png

1681896461(1).png

作为一种替代手段,经常考虑的一个经典的性能指标是所谓的克拉美-罗下界(Cramér–Rao Lower Bound, CRLB)。简而言之,克拉美-罗界是所有无偏估计器的方差的下界(无偏估计定义为估计值的数学期望为真值的估计器,因此其方差等于MSE)。

这一下界指出,无偏估计器的估计方差应至少与Fisher信息(Fisher Information)的逆相当,即

1681896278(1).png

1681896416(1).png

4. 总结

本文对脉冲式雷达的基本原理进行了简介,并重点介绍了雷达信号处理的两个基本问题:目标检测与参数估计。

由于篇幅所限,本文所考虑的只是最基本的点目标模型,对于雷达系统中的其他重要概念,如杂波干扰、扩展目标(Extended Target)、波形设计等均未作介绍。

温馨提示:以上内容整理于网络,仅供参考,如果对您有帮助,留下您的阅读感言吧!
相关阅读
本类排行
相关标签
本类推荐

CPU | 内存 | 硬盘 | 显卡 | 显示器 | 主板 | 电源 | 键鼠 | 网站地图

Copyright © 2025-2035 诺佳网 版权所有 备案号:赣ICP备2025066733号
本站资料均来源互联网收集整理,作品版权归作者所有,如果侵犯了您的版权,请跟我们联系。

关注微信