全球最实用的IT互联网信息网站!

AI人工智能P2P分享&下载搜索网页发布信息网站地图

当前位置:诺佳网 > 电子/半导体 > EMC/EMI设计 >

看下噪声分析过程,一个是干扰,一个是电化学

时间:2024-10-16 10:30

人气:

作者:admin

标签:

导读:我们彻底排除了一遍电路,排除了系统自激或是系统内部的串扰(也叫串音干扰),也排除了电源引入的干扰,通过各种排除,最终把问题定位到他们使用的一个设备,这个设备需要接...

大家好,我是工程师看海,原创文章欢迎点赞分享

这几天心里颇不宁静,今晚在院子里坐着乘凉,忽然想起往日一同攻坚的战友,在这满月的光里,该是另一番样子吧。

我们制定的uV级别信号的采集方案,从原理到模拟环境测试,一切都OK,然而真正到现场采集信号时却发现,压根就采集不到信号,下图是采集的时域和频域波形,完全看不到目标信号的成分,这采集的哪是信号,这分明是采集了个寂寞。。。。。

bcbedc74-8b52-11ef-a79e-92fbcf53809c.png

这个硬件架构从理论到仿真都是ok的,实验室内部测试模拟信号也是正常的,为什么到现场测试后就没有信号了呢?下图是实验室模拟采集的结果,还是非常不错的。

bccf6e36-8b52-11ef-a79e-92fbcf53809c.png

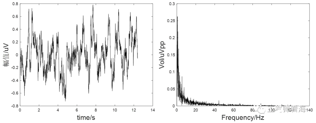
正在我疑惑的时候,隔壁项目组突然来找我协助解决问题,他们也是需要采集一个微弱信号,但是带宽比较宽,到了1MHz,然而有个600Hz左右的干扰一直在他们系统中出现,甚至到了mV级别,始终不得解,这是典型EMC方面的问题,从下图频率上看大约是580Hz。

bce93b40-8b52-11ef-a79e-92fbcf53809c.png

兄弟项目组这个问题分析起来还是挺麻烦的,我们彻底排除了一遍电路,排除了系统自激或是系统内部的串扰(也叫串音干扰),也排除了电源引入的干扰,通过各种排除,最终把问题定位到他们使用的一个设备,这个设备需要接近他们采集系统放置我们把设备关闭后干扰就消失了,见下图时域波形,旁边的设备一关,噪声马上降低。我从听到这个问题到定位大约用了3个小时,那晚我们肝到凌晨2点,好在结果不错,也能睡的踏实一点。

bcf84662-8b52-11ef-a79e-92fbcf53809c.png

然而,第一个问题依然困扰我,为啥采集不到信号呢?

就在前两天,又有兄弟项目组突然踩雷,和我的问题刚好相反,我是采集不到信号,而他们是一采集信号就饱和,和我非常非常相似的是,他们也是理论分析、模拟信号采集都ok,一旦到现场采集信号就饱和,问题发生的流程都非常相似,这就是真兄弟项目组啊。

我这自己的坑还没填上,就过去和人家一起分析问题,没想到误打误撞反而给填自己的坑带来了思路。

他们是采集电解质液体内的电压信号,但是一连接系统,输出马上到最大值,而采集信号发生器的信号就非常好,我当时把这个问题定位到他们所用传感器类型上,传感器是金属导体,被采集的是电解质液体,是导电液体,我猜测导电液体和金属导体接触时会发生电化学腐蚀反应,他们系统之所以会饱和应该就是采集的这个腐蚀电压,相当于采集了一个电池,电化学腐蚀的原理如下图所示,不得不说,我国的初、高中数学、物理和化学课程真的非常不错,可以描述和解释大部分生活现象。

bd199e66-8b52-11ef-a79e-92fbcf53809c.png

电化学反应很常见,比如你如果用万用表的直流电压档位测凉水的电压,可能会发现有大约30mV的电压,而如果你把水换成烧开、沸腾的水,电压可能就会降低到10mV以内,这是因为烧开的水中氧气的成分减小了,我猜测这就是,金属的吸氧反应被降低,电子流动程度降低导致的,这只是猜测,欢迎各位小伙伴留言讨论。

bd1eb568-8b52-11ef-a79e-92fbcf53809c.png

原文来自公众号:工程师看海

发现了原因之后,我初步制定了一套硬件优化方案,等哥们实践后看看结果咋样,能不能打脸,就全靠哥们了,看着我提出的方案,我一拍脑门,这不就是我的问题的反解吗!

我只要修改两个电阻的阻值,我的问题应该就会得到改善,能找到我的问题根因,也是误打误撞,电路设计的坑还是非常多,书上写的再好,实际应用中总会遇到各种突发因素影响。

这就像我最近在看的一个模型推导,推了半天,结果人家用的是另一个模型,就好比产品推销员向你吹嘘他们的电脑产品多牛逼,多快,多厉害,结果后来发现,他卖的却是手机,这谁心里会宁静啊!

更多内容欢迎关注我的原创精品课:《运放秘籍》系列视频

【淘宝】https://m.tb.cn/h.gZPqnDWmjspIhVx?tk=wUbtWr5UFUu HU0025 「运放秘籍第三部_信号电路与系统新说_工程师看海_运放教程

点击链接直接打开 或者 淘宝搜索直接打开

如果看到这里,请点赞、收藏、分享三连!

bd2cb5c8-8b52-11ef-a79e-92fbcf53809c.png

温馨提示:以上内容整理于网络,仅供参考,如果对您有帮助,留下您的阅读感言吧!
相关阅读
本类排行
相关标签
本类推荐

CPU | 内存 | 硬盘 | 显卡 | 显示器 | 主板 | 电源 | 键鼠 | 网站地图

Copyright © 2025-2035 诺佳网 版权所有 备案号:赣ICP备2025066733号
本站资料均来源互联网收集整理,作品版权归作者所有,如果侵犯了您的版权,请跟我们联系。

关注微信