全球最实用的IT互联网信息网站!

AI人工智能P2P分享&下载搜索网页发布信息网站地图

当前位置:诺佳网 > 电子/半导体 > EMC/EMI设计 >

电磁波的传播需要考虑哪些因素?

时间:2024-01-21 11:10

人气:

作者:admin

标签:

导读:电磁波的传播需要考虑哪些因素?-电磁波的神奇之处,就是它的传播不需要通过介质。只要电场和磁场两者能够交替开,就可以大踏步向前,以光的速度传播。...

在《电磁波是如何传输的?》我们介绍了空间电磁波传播的三种基本方式:地波传播,天波传播和视距传播。随着电磁波频率的升高,视距传播是目前最主要的传播方式。

视距传播是不是只要看得到,就能够接收到信号?电磁波在空间传播的衰减大吗?电磁波的传播需要考虑哪些因素?

电磁波的神奇之处,就是它的传播不需要通过介质。只要电场和磁场两者能够交替开,就可以大踏步向前,以光的速度传播。

如下图所示。

d48c7826-b77b-11ee-8b88-92fbcf53809c.gif

这种不依靠载体就能够传播的能量,在自由空间中可以无损耗的传输下去。既然能无损耗,是不是就可以一直传?我想,答案应该是的,但是无损耗,并不意味着强度能够保持不变。电磁波的传播是一种发散的,随着距离的增大,电磁波不断扩散,其强度也会逐渐衰弱。

所以,对于电磁波的传播,最怕的就是距离。所以即便如太阳光般的高能量电磁波,达到地球表面,也可以按照距离的远近,划分出冷热不同的春夏秋冬。

 

No.1 自由空间传输损耗

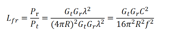
首先,我们假设有两个天线,发射天线的发射功率为Pt,天线增益为Gt,接收天线的增益为Gr,距离发射天线的距离为R,这个R足够远,在两个天线的远场区。那么接收天线接收到的功率Pr是多少呢?

d4a85334-b77b-11ee-8b88-92fbcf53809c.png

我们假设发射天线是全向无损的,距离R的接收天线处的功率密度为:

d4ac3d3c-b77b-11ee-8b88-92fbcf53809c.png

考虑到发射天线的增益为Gt,那么接收天线处的功率密度为:

d4b2d3b8-b77b-11ee-8b88-92fbcf53809c.png

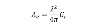
假设接收天线有效面积为Ae,那么接收天线接收到的功率就是

d4ba74b0-b77b-11ee-8b88-92fbcf53809c.png

而天线的有效面积是与天线的工作波长和增益相关的物理量:

d4bef6ca-b77b-11ee-8b88-92fbcf53809c.png

这样,接收天线接收到的功率就可以算出来啦

d4c28150-b77b-11ee-8b88-92fbcf53809c.png

这就是著名的弗里斯传输公式 Friis transmission equation,这个公式就是贝尔实验室的Harald T. Friss在1945年首次推导出来的,并且在1946年的文章”Note on a Simple Transmission Formula“中详细做了阐述。

这个公式也被称为电磁波自由空间损耗方程。

若将接收机的输入功率Pr和发射机输出功率Pt的比值定义为传播损耗的话,这个传播损耗可以由上面公式直接导出

d4d08e94-b77b-11ee-8b88-92fbcf53809c.png

换算为dB形式就是

d4d7fa62-b77b-11ee-8b88-92fbcf53809c.png

如果不考虑发射天线和接收天线的增益,电磁波自由空间衰减公式就可以进一步简化为

d4db9da2-b77b-11ee-8b88-92fbcf53809c.png

这也就是著名的弗里斯传输公式。

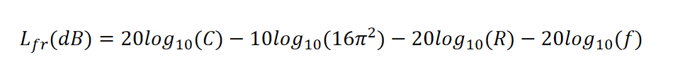
如果光速C和距离R以kM为单位,f以MHz为单位的话,上式就可以转换为我们比较熟悉的。

d4e3ef98-b77b-11ee-8b88-92fbcf53809c.png

注意,上式就是著名的自由空间损耗公式。

举个栗子

假设一个5G基站的发射功率为100W,天线增益为20dB,工作频率为3.5GHz,在距离2kM的地方手机接收到的功率是多少W?

空间传输衰减Lfr 为:

d4ea66b6-b77b-11ee-8b88-92fbcf53809c.png

一般手机天线为全向天线,通常内置天线增益为0dB-1dB,假设为0dB,那么手机接收到的功率为:

d4ee170c-b77b-11ee-8b88-92fbcf53809c.png

大约为0.0000011瓦,等于11微瓦。

无线通信中常说“功率增加6dB,传输距离增加一倍”,这里的6dB时怎么来的呢。大家可以根据自由空间损耗公式算一下看,主要考虑中间项20log(R_KM)就可以了, 是不是距离增加一倍,衰减刚好增加6dB?

No.2 大气衰减

但是,地球表面不同于自由空间,除了距离导致的强度衰减之外,还有大气的影响。大气以及降水都会吸收和散射电磁波,尤其是频率在1GHz以上的电磁波。

在一些特定的频率范围,由于分子谐振现象而使衰减出现峰值,在《ITU-R P.676-11》给出了大气气体引起的衰减率曲线,如下图所示。大约在23GHz处,出现由于水蒸气吸收产生的第一个谐振点,在62GHz处出现干空气(主要是氧气)吸收产生的第二个谐振点,在120GHz处出现干空气吸收产生的第三个谐振点,以及后面水蒸气的两个吸收频率为180GHz和350GHz处。

d4f264e2-b77b-11ee-8b88-92fbcf53809c.png

所以在大气中通信时应该闭面使用上述衰减严重的频段。

此外,降水也会对10GHz以上的电磁波产生比较大的影响。

d502dfe8-b77b-11ee-8b88-92fbcf53809c.png

当然,现实中的衰减模型要复杂的多,利用弗里斯衰减公式可以快速评估无线站的覆盖距离,当然也可以快速评估一下这个站辐射的影响。

审核编辑:黄飞

温馨提示:以上内容整理于网络,仅供参考,如果对您有帮助,留下您的阅读感言吧!
相关阅读
本类排行
相关标签
本类推荐

CPU | 内存 | 硬盘 | 显卡 | 显示器 | 主板 | 电源 | 键鼠 | 网站地图

Copyright © 2025-2035 诺佳网 版权所有 备案号:赣ICP备2025066733号
本站资料均来源互联网收集整理,作品版权归作者所有,如果侵犯了您的版权,请跟我们联系。

关注微信