全球最实用的IT互联网信息网站!

AI人工智能P2P分享&下载搜索网页发布信息网站地图

当前位置:诺佳网 > 电子/半导体 > EMC/EMI设计 >

详解变频器的干扰问题与处理方法

时间:2024-01-25 09:31

人气:

作者:admin

标签:

导读:随着变频器应用的普及,由变频器产生的干扰问题也变得越来越突出,本文将为最终用户详述EMC的相关知识,解决一些工程设备在工厂测试时一切正常,但安装到现场就会出现和干扰相...

随着变频器应用的普及,由变频器产生的干扰问题也变得越来越突出,本文将为最终用户详述EMC的相关知识,解决一些工程设备在工厂测试时一切正常,但安装到现场就会出现和干扰相关的问题的原因,针对这些干扰现象将给出相对应的解决方案。

一、电磁兼容的概念

电磁兼容性(EMC)是指设备或系统在其电磁环境中符合要求运行并不对其环境中的任何设备产生无法忍受的电磁干扰的能力。

因此,EMC包括两个方面的要求,一方面是指设备在正常运行过程中对所在环境产生的电磁干扰不能超过一定的限值;另一方面是指器具对所在环境中存在的电磁干扰具有一定程度的抗扰度,即电磁敏感性。

在国际电工委员会标准IEC中,对电磁兼容EMC(ElectromagneticCompatibility)的定义为系统或设备在所处的电磁环境中能正常工作,同时不会对其他系统和设备造成干扰。

EMC包括EMI(电磁干扰)及EMS(电磁耐受性)两部分,所谓EMI电磁干扰,是机器本身在执行应有功能的过程中所产生不利于其它系统的电磁噪声;而EMS则是指机器在执行应有功能的过程中不受周围电磁环境影响的能力。

各种电气或电子设备在电磁环境复杂的共同空间中,以规定的安全系数满足设计要求的正常工作能力。也称电磁兼容性。

它的含义包括:

Ø 电子系统或设备之间在电磁环境中的相互兼顾。

Ø 电子系统或设备在自然界电磁环境中能按照设计要求正常工作。

EMC在我们生活、工业设备等等是非常普遍的,可以说是无处不在,例如我们在打座机电话时如果附近有手机在接收短信时,听筒会出现嗞啦嗞啦的噪音,这就是常见的EMC现象。还有日常使用的微波炉,在前面板和外壳必须使用电磁屏蔽,自然界中的闪电,人手上的静电等等这些都是常见的EMC现象。

另外,在工业现场中,变频器、整流器、电焊机等设备对PLC的干扰,步话机对其它设备的干扰等等。

1. 电磁兼容的三要素

系统要发生电磁兼容性问题,必须存在三个因素,即电磁干扰源、耦合途径、敏感设备。所以,在遇到电磁兼容问题时,要从这三个因素入手,找到造成干扰的根本原因,在工程实践中,往往要采取多种措施,才能解决电磁兼容问题。

(1)电磁干扰源

电磁干扰源分为自然的和人为的两种。

自然干扰源主要包括大气中发生的各种现象,如雷电等产生的噪声。自然干扰源还包括来自太阳和外层空间的宇宙噪声,如太阳噪声、星际噪声、银河噪声等。

人为干扰源是多种多样的,如电铃、气体整流器、手机、电热器、步话机、软起动器、变频器、伺服、整流器、接触器、中间继电器、开关、荧光灯、发动机点火系统、电弧焊接机、可控硅逆变器、电晕放电、各种工业、科学和医用高频设备、电气铁道引起的噪声以及由核爆炸产生的核电磁脉冲等。

(2)耦合途径

即传输电磁干扰的通路或媒介。电磁干扰传播途径一般也分为两种:即传导耦合方式和辐射耦合方式。耦合途径的详细划分如图1所示。

8f33087a-ba9c-11ee-8b88-92fbcf53809c.jpg

图 1电磁干扰的耦合途径划分

1)传导耦合

传导耦合是干扰源与敏感设备之间的主要耦合途径之一。

传导耦合必须在干扰源与敏感设备之间存在有完整的电路连接,电磁干扰沿着这一连接电路从干扰源传输电磁干扰至敏感设备,产生电磁干扰。

传导耦合的连接电路包括互连导线、电源线、信号线、接地导体、设备的导电构件、公共阻抗、电路元器件等。

传导耦合按其耦合方式可以划分为三种基本方式:

Ø 电路性耦合

Ø 电容性耦合

Ø 电感性耦合

实际工程中,这三种耦合方式同时存在、互相联系。

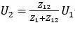
其中:电路性耦合是最常见、最简单的传导耦合方式。最简单的电路性传导耦合模型如图2所示。

8f3d95e2-ba9c-11ee-8b88-92fbcf53809c.jpg

图 2电路性传导耦合的一般形式

当电路1有电压U1作用时,该电压经Z1加到公共阻抗Z12上。当电路2开路时,电路1耦合到电路2的电压为

8f4fbcb8-ba9c-11ee-8b88-92fbcf53809c.jpg

当两个电路的电流流经一个公共阻抗时,一个电路的电流在该公共阻抗上形成的电压就会影响到另一个电路,这就是共阻抗耦合,通过公共地线阻抗的耦合如图3所示,对于这种耦合应把接地线尽量缩短和加粗,降低公共地线阻抗。

8f625972-ba9c-11ee-8b88-92fbcf53809c.jpg

图 3两个设备同时接一个公共地线出现的公共阻抗干扰

多个接地点因为对地阻抗不同将产生干扰电压,解决这个问题的办法是采用一点接地,

多个变频器的一点接地示意图如图4所示。

8f6d7f64-ba9c-11ee-8b88-92fbcf53809c.jpg

图 4多个变频器的一点接地示意图

共阻抗干扰的解决方法:

让两个电流回路或系统彼此无关。信号相互独立,避免电路的连接,以避免形成电路性耦合。

限制耦合阻抗,使耦合阻抗愈低愈好,当耦合阻抗趋于零时,称为电路去耦。为使耦合阻抗小,必须使导线电阻和导线电感都尽可能小。

电路去耦:即各个不同的电流回路之间仅在唯一的一点作电的连接,在这一点就不可能流过电路性干扰电流,于是达到电流回路间电路去耦的目的。

隔离:电平相差悬殊的相关系统(比如信号传输设备和大功率电气设备之间),常采用隔离技术

2)电容耦合

电容性耦合(The Capacitive Coupling)也称为电耦合,它是由两电路间的电场相互作用所引起。一对平行导线所构成的两电路间的电容性耦合模型及其等效电路如图5所示。

8f77163c-ba9c-11ee-8b88-92fbcf53809c.jpg

图 5耦合模型和等效电路

Un的等效公式如下:

8f80e77a-ba9c-11ee-8b88-92fbcf53809c.jpg

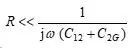
当如果R为低阻抗,且满足

8f8f89e2-ba9c-11ee-8b88-92fbcf53809c.jpg

那么,以上公式可简化为 UN≈jωC12RU1
电容性耦合的干扰作用相当于在导体2与地之间连接了一个幅度为In=jωC12U1的电流源

此公式是描述两导体之间电容性耦合的最重要的公式,它清楚地表明了拾取(耦合)的电压依赖于相关参数。

假定干扰源的电压U1和工作频率f不能改变,这样只留下两个减小电容性耦合的参数C12和R。

减小耦合电容的方法:

干扰源系统的电气参数应使电压变化幅度和变化率尽可能地小;

被干扰系统应尽可能设计成低阻;

两个系统的耦合部分的布置应使耦合电容尽量小。例如电线、电缆系统,则应使其间距尽量大,导线尽量短,并且要避免平行走线;

可对干扰源的干扰对象进行电气屏蔽,屏蔽的目的在于切断干扰源的导体表面和干扰对象的导体表面之间的电力线通路,使耦合电容变得最小。

3)电感耦合

电感耦合(Inductive Coupling)也称为磁耦合,它是由两电路间的磁场相互作用所引起。当电流I在闭合电路中流动时,该电流就会产生与此电流成正比的磁通量。

电感的值取决于电路的几何形状和干扰源和敏感电路的环路面积、方向、距离以及干扰源和敏感有无屏蔽。电动势的公式是:

抑制电感耦合的方法:

干扰源系统的电气参数应使电流变化的幅度和速率尽量小;

被干扰系统应该具有高阻抗;

减少两个系统的互感,为此让导线尽量短,间距尽量大,避免平行走线,采用双线结构时应缩小电流回路所围成的面积;

对于干扰源或干扰对象设置磁屏蔽,以抑制干扰磁场。

采用平衡措施,使干扰磁场以及耦合的干扰信号大部分相互抵消。如使被干扰的导线环在干扰场中的放置方式处于切割磁力线最小,两根导线垂直,则耦合的干扰信号最小;另外如将干扰源导线平衡绞合,可将干扰电流产生的磁场相互抵消

4)辐射干扰

当敏感设备离干扰源比较远时,干扰通过其周围的媒介以电磁波的形式向外传播,干扰电磁能量按电磁场的规律向周围空间发射。

辐射耦合的途径主要有天线、电缆、导线、机壳的发射对组合。

通常将辐射耦合划分为三种,即天线与天线的耦合、场耦合与电缆的耦合以及导线与导线的耦合。

其中,工业现场主要是场与线的耦合,指的是空间电磁场对存在于其中的导线实施感应耦合,从而在导线上形成分布电磁干扰源;

另外,设备的电缆线一般是由信号回路的连接线、电源回路的供电线以及地线一起构成,其中每一根导线都由输入端阻抗、输出端阻抗和返回导线构成一个回路。因此,设备电缆线是设备内部电路暴露在机箱外面的部分,它们最容易受到干扰源辐射场的耦合而感应出干扰电压或干扰电流,沿导线进入设备形成辐射干扰。

对于导线比较短、电磁波频率比较低的情况,读者可以把导线和阻抗构成的回路看作为理想的闭合回路。电磁场通过闭合回路引起的干扰属于闭合回路耦合。

对于电缆比较长、电磁波频率比较高的情况,导线上的感应电压是不均匀一致的,需要将感应电压等效成许多分布电压源,采用传输线理论来处理。

抑制辐射干扰的措施:

辐射屏蔽:在干扰源和干扰对象之间插入一金属屏蔽物,以阻挡干扰的传播。

距离隔离:拉开干扰源与被干扰对象之间的距离,这是由于志在近场区,场量强度与距离平方或立方成比例,当距离增大时,场衰减很快。

对于场对电缆的辐射干扰一般要采取屏蔽的方法,对于变频器等设备来说,使用RFI滤波器削弱传导干扰,同时削弱辐射干扰,另外接线要遵守变频器的接线规则。

(3)敏感设备

实际工程中。敏感设备受到电磁干扰侵袭的耦合途径是传导耦合、辐射耦合、感应耦合以及它们的组合。敏感设备(Victim)是指当受到电磁干扰源所发出的电磁能量的作用时,会受到伤害的将发生电磁危害,导致性能降级或失效的器件、设备、分系统或系统。许多器件、设备既是电磁干扰源又是敏感设备。工业现场常见的敏感设备包括PLC、现场仪表等。

二、工业现场常见的干扰的类型

工业现场常见的干扰类型有浪涌、谐波干扰、快速脉冲群干扰、静电干扰和辐射干扰等等类型。

1. 浪涌

浪涌也叫突波,通俗点说就是超出正常工作电压的瞬间过电压。从本质上讲,浪涌是发生在仅仅几百万分之一秒时间内的一种剧烈脉冲。

可能引起浪涌的原因有重型设备、短路、电源切换或大型发动机。目前实验证明含有浪涌阻绝装置的产品是可以有效地吸收突发的巨大能量,以保护连接设备免于受损的。

其中,雷击引起的电涌危害最大,在雷击放电时,以雷击为中心1.5~2KM范围内,都可能产生危险的过电压。雷击引起(外部)电涌的特点是单相脉冲型,能量巨大。外部电涌的电压在几微秒内可从几百伏快速升高至20000V,可以传输相当长的距离。

按ANSI/IEEE C62.41-1991说明,瞬间电涌高达20000V,瞬间电流可达10000A。根据统计,系统外的电涌,主要来自于雷电和其它系统的冲击,大约占 20%,雷电的浪涌电压如图6所示。

8f99e112-ba9c-11ee-8b88-92fbcf53809c.jpg

图 6浪涌电压的波形

雷击产生的危害主要包括以下几个方面:

感应雷击电涌过电压:雷击闪电产生的高速变化的电磁场,闪电辐射的电场作用于导体,感应很高的过电压,这类过电压具有很陡的前沿并快速衰减。

直接雷击电涌过电压:直接落雷在电网上,由于瞬间能量巨大,破坏力极强,还没有一种设备能对直接落雷进行保护。

雷击传导电涌过电压:由远处的架空线传导而来,由于接于电力网的设备对过电压有不同的抑制能力,因此传导过电压能量随线路的延长而减弱。

振荡电涌过电压:动力线等效一个电感,并于大地及临近金属物体间存在分布电容,构成并联谐振回路,在TT、TN供电系统,当出现单相接地故障的瞬间,由于高频率的成分出现谐振,在线路上产生很高过电压,主要损坏二次仪表。

对于雷暴日大于15日的地点,必须加装防雷装置,对于变频器应加装压敏电阻,可有效防止浪涌和供电的过电压对设备的损坏。

由于断路器的操作、负荷的投入和切除或系统故障等系统内部的状态变化,而使系统参数发生变化,从而引起的电力内部电磁能量转换或传输过渡过程,将在系统内部出现过电压。在电力系统引起的内部过电压的原因大致可分为:

Ø 电力大负荷的投入和切除;

Ø 感性负荷的投入和切除;

Ø 功率因素补偿电容器的投入和切除;

Ø 短路故障;

另外,接触器和中间继电器的线圈吸合时浪涌对系统也有影响,接触器线圈的浪涌有可能达到上千伏,推荐在这些设备上加装浪涌抑制元件,例如RC、双向峰值二极管等,线圈吸合时的浪涌如图7所示。

8fabe506-ba9c-11ee-8b88-92fbcf53809c.jpg

图 7接触器线圈吸合时的浪涌

2. 谐波干扰

变频器的主电路一般由交-直-交组成,外部输入的380 V/50 Hz 的工频电源经三相桥路晶闸管整流成直流电压信号后,经滤波电容滤波及大功率晶体管开关器件逆变为频率可变的交流信号。

在整流回路中,输入电流的波形为不规则的矩形波,波形按傅里叶级数分解为基波和各次谐波,其中的高次谐波将干扰输入供电系统。在逆变输出回路中,输出电流信号是受PWM载波信号调制的脉冲波形,目前低压变频器普遍使用IGBT大功率逆变器件,其PWM的载波频率为2.5~20 kHz,同样,输出回路电流信号也可分解为只含正弦波的基波和其他各次谐波,而高次谐波电流对负载直接干扰。另外高次谐波电流还通过电缆向空间辐射,干扰邻近电气设备。

变频器输入的电压和电流波形如图8所示。

8fafdfe4-ba9c-11ee-8b88-92fbcf53809c.jpg

图 8变频器的输入侧波形

可通过加装变频器的进线电抗器、直流电抗器、无源滤波器等设备降低变频器产生的谐波。

3. 快速脉冲群干扰

EFT是电快速瞬变脉冲群抗扰度试验的简称。由闪电、接地故障、电源开关动作、或电路中继电器等电感性负载动作而引起的瞬时扰动对整个控制回路中产生干扰时,对控制箱(和PLC等器件)的干扰,这类干扰的特点是脉冲成群出现、脉冲的重复频率较高、脉冲波形的上升时间短暂、单个脉冲的能量较低。所以有可能会因为某路电路中,机械开关对电感性负载的切换,对同一电路的其它电气和电子设备产生干扰。在触点的吸合和断开时的瞬态电压,快速脉冲群的产生示意图如图9所示。

8fc298fa-ba9c-11ee-8b88-92fbcf53809c.jpg

图 9 脉冲群的产生

实测接触器触点的示波器图形如图10所示。

8fd0c45c-ba9c-11ee-8b88-92fbcf53809c.jpg

图 10 接触器开断的示波器波形

由于脉冲群的单个脉冲波形前沿tr达到5ns,脉宽达到50ns,这就注定了脉冲群干扰具有极其丰富的谐波成分。

幅度较大的谐波频率至少可以达到1/πtr,亦即可以达到64MHz左右,相应的信号波长为5m。对于一根载有60MHz以上频率的电源线来说,如果长度有1m,由于导线长度已经可以和信号的波长可比,不能再以普通传输线来考虑,信号在线上的传输过程中,部分依然可以通过传输线进入受试设备(传导发射);部分要从线上逸出,成为辐射信号进入受试设备(辐射发射)。因此,受试设备受到的干扰实际上是传导与辐射的结合。

很明显,传导和辐射的比例将和电源线的长度有关,线路越短,传导成分越多,而辐射比例越小;反之,辐射比例就大。这正是同等条件下,为什么金属外壳的设备要比非金属外壳设备更容易通过测试的道理,因为金属外壳的设备抗辐射干扰能力较强。

EFT干扰的传输过程中,会有一部分干扰从传输的线缆中逸出,这样设备最终受到的是传导和辐射的复合干扰。但由于传导的量占绝大部分,可控可观,所以针对脉冲群干扰来说,最通用的脉冲群干扰抑制办法主要采用滤波(电源线和信号线的滤波)及吸收(用铁氧体磁环来吸收)。

其中,采用铁氧体磁环吸收的方案非常便宜也非常有效。而辐射的量可以通过改变传输线缆的位置尽量的减小,最有效的是将滤波器和铁氧体磁芯用在干扰的源头和设备的入口处。前者是对干扰源的彻底处理,后者是把紧抑制干扰的大门,使经过滤波器和铁氧体磁芯处理后的电源线和信号线,是不再含有辐射成分的。

4. 静电干扰

静电的本质是电势差引起的电荷转移。任何物质都是由原子组合而成,而原子的基本结构为质子、中子及电子。科学家们将质子定义为正电,中子不带电,电子带负电。在正常状况下,一个原子的质子数与电子数量相同,正负电平衡,所以对外表现出不带电的现象。但是由于外界作用如摩擦或以各种能量如动能、位能、热能、化学能等的形式作用会使原子的正负电不平衡。

在日常生活中所说的摩擦实质上就是一种不断接触与分离的过程。有些情况下不摩擦也能产生静电,如感应静电起电,热电和压电起电、亥姆霍兹层、喷射起电等。任何两个不同材质的物体接触后再分离,即可产生静电,而产生静电的普遍方法,就是摩擦生电。材料的绝缘性越好,越容易产生静电。因为空气也是由原子组合而成,所以通俗点来说,在人们生活的任何时间、任何地点都有可能产生静电。要完全消除静电几乎是不可能的,但可以采取一些措施控制静电使其不产生危害。

另外,北方冬天天气干燥,人体容易带上静电,当接触他人或金属导电体时就会出现放电现象。人会有触电的针刺感,夜间能看到火花,这是化纤衣物与人体摩擦人体带上正静电的原因。常见的静电现场如图11所示。

静电危害的范围较广。在静电危险物资的储运过程中,一旦因静电放电而引发燃烧、爆炸事故,受损的往往不仅是某一设备,而是某一场所、某一区域,甚至更大范围内的安全都会受到威胁。

在静电危险物资的储存场所及静电敏感材料生产、使用、运输过程中,构成静电危害的条件比较容易形成,有时仅仅一个火花就能引发一次严重的灾害,由于静电的电压很高,有可能导致电路板的芯片烧毁,因此在使用手拿取。

静电危害应以预防为主,静电接地、使用防静电鞋、防静电服、腕带可以降低静电的危害,用手拿电路板时,应先把手的静电通过金属导体放掉,防止电路板因静电发生损坏。

5. 辐射干扰

辐射干扰,顾名思义就是由于变频器辐射产生的干扰。

变频器到电机电缆如果没有使用屏蔽线的话,将是最典型的辐射干扰源,因为,变频器的输出采用的PWM输出,载波频率几K到十几K,变频器的辐射干扰原理图如图12所示。

8ff1f7e4-ba9c-11ee-8b88-92fbcf53809c.jpg

图 12变频器的辐射干扰

抑制变频器辐射干扰的办法:

用户在实际的工程项目中,需要购买带有集成滤波器的变频器、采用屏蔽电缆或者选购附加的EMC滤波器。

电机电缆加装屏蔽线或金属管,变频器安装时使用EMC安装板,在电机侧使用专用的EMC电缆接头,都是抑制变频器电机线的辐射干扰的好方法。

三、工业设备的接地

接地的首要目的是安全,接地线的作用是将电气设备或电柜电箱等带电设备金属外壳导电部分,和大地连接形成等电位体。

安全接地线的电阻很小,这样即使电气设备外壳因意外漏电,也会因为电流经过接电线流向大地,和大地电势相通,这样电箱外壳和大地之间的电压很低,可以忽略不计,所以当发生人体接触电箱外壳的情况,因为电压很低,通过人体的电流要远远小于是人体触电的电流,人体不会触电,从而保护人员的安全。

工作接地是由电力系统运行需要而设置的(如中性点接地),因此在正常情况下就会有电流长期流过接地电极,但是只是几安培到几十安培的不平衡电流。

防雷接地是为了消除过电压危险影响而设的接地,如避雷针、避雷线和避雷器的接地。防雷接地只是在雷电冲击的作用下才会有电流流过,流过防雷接地电极的雷电流幅值可达数十至上百千安培,但是持续时间很短。

屏蔽接地是消除电磁场对人体危害的有效措施,也是防止电磁干扰的有效措施。高频技术在电热、医疗、无线电广播、通信、电视台和导航、雷达等方面得到了广泛应用,人体在电磁场作用下,吸收的辐射能量将发生生物学作用,对人体造成伤害,如手指轻微颤抖、皮肤划痕、视力减退等。对产生磁场的设备外壳设屏蔽装置,并将屏蔽体接地,不仅可以降低屏蔽体以外的电磁场强度,达到减轻或消除电磁场对人体危害的目的,还可以保护屏蔽接地体内的设备免受外界电磁场的干扰影响。

防止静电危害影响并将其泄放,防静电接地是静电防护最重要的一环。

接地用在EMC方面的作用包括使用等电位体来实现与地线可靠的连接,可以在很宽的频率范围内保持等电位,另外,尽可能低的接地阻抗可以使电源故障电流和高频电流不经过设备,降低了对设备干扰。

目前国内的接地系统采用的是防雷接地、动力接地和数字地分离的方法,这样的单独接地系统在国内是最多见的,但是这种接地系统高频特性不够好,单独接地系统如图13所示。

8ff6cba2-ba9c-11ee-8b88-92fbcf53809c.jpg

图 13 单独接地系统

用户可以通过多处的等电位体将动力、通讯接地形成接地网络,然后通过多层复合接地与防雷接地连接,这样的接地系统仅在接地系统的阻值低于1欧姆时方能采用,接地系统如图14所示。

9004ac90-ba9c-11ee-8b88-92fbcf53809c.jpg

图 14 多点接地的接地系统

对于工业的接地系统,要求接地电阻越小越好,在1000V以下中性点直接接地系统中,接地电阻小于或等于4欧,重复接地电阻小于或等于10欧。而电压1000V以下的中性点不接地系统中,一般规定接地电阻为4欧。但是在很多的客户现场发现往往达不到接地电阻小于或等于4欧的要求,这时应对接地进行整改。

长度为1米不同直径电缆在频率下的阻抗如图15所示,从图中可以看出,电缆的阻抗与频率密切相关,在低频下,直径大的电流阻抗低,35mm2的阻抗0.5毫欧,1mm2的2达18毫欧,两者相差36倍,但在高频下,例如100KHz,35mm2的电缆比1mm2的电阻的一半还多,也就是说两个1mm22的电缆并联将比一个35mm2的电缆的阻抗还小,这也是为什么要使用网状连接进行接地的原因。

901aad1a-ba9c-11ee-8b88-92fbcf53809c.jpg

图 15 电缆在不同频率下的阻抗表

在高频环境下,导体的阻抗主要取决于其与单位长度成正比的每单位长度的电感,该电感从1 kHz开始对电缆的阻抗起决定性作用。这意味着,只要几米长的导体,电缆的阻抗影响因素如下:

Ø 直流或低频(LF)几毫欧

Ø 约1 MHz几欧姆

Ø 高频几百欧姆(HF)(»100 MHz ...)

Ø 并且导体横截面的周长起主导作用(集肤效应)

Ø 导体的横截面积相对变得不重要

Ø 电缆的长度是决定性的

在了解了上述的原理之后,就会理解为什么接地电缆越短就越好的原因。

为什么不能在屏蔽接地使用猪尾巴?

由于在高频下,电缆的阻抗主要由电缆长度决定,把屏蔽拧成猪尾巴,将降低屏蔽的效果,如果导体的长度超过信号波长的1/30电缆的阻抗变为“无限”。

波长和频率的关系式:c=λf(f=c/λ),其中,c:波速(这是一个常量,也就是光速,c约等于3*10^8m/s) 单位是米每秒;λ是波长,其单位是米;f是波的频率,其单位是赫兹Hz。

式中:

Ø λ:波长单位m 。

Ø f:频率单位MHz。

显然,同样长度物体的接地阻抗按大小排列,Z1>Z2>Z3>Z4,如图16所示。

9030f124-ba9c-11ee-8b88-92fbcf53809c.jpg

图 16 高频环境同样长度物体阻抗的排列

几种电缆屏蔽接地的接法的比较,如图17所示。

904939d2-ba9c-11ee-8b88-92fbcf53809c.jpg

图 17 电缆屏蔽接地的比较

四、变频器的滤波器和磁环

施耐德变频器ATV320的内置或外加EMC滤波器采用同样的结构,滤波器由相间的X电容,相和地之间的Y电容以及共模扼流圈组成。滤波器使用的模扼流圈,与环形变压器相比使用了环形铁氧体,并在其上面绕线形成电感。

变频器集成EMC滤波器的目的是使变频器能够符合IEC61800-3的C2标准的要求,

ATV320产品200V 单相的产品,当变频器的开关频率设置值在2到4kHz之间,电机电缆的最长距离可达10米,当开关频率设置是从4到12kHz之间,在变频器到电机电缆长度最大值为5米。

ATV320产品400V 三相范围(EMC滤波器),开关频率设置值在4到12kHz之间时,变频器到电机电缆最大值为5米。

如果加装了附加EMC滤波器,在保证符合C2标准的前提下,变频器到电机的电缆长度更长,还有可能符合更高的标准C1。

滤波器接线时,需注意将滤波器的输入和输出分开,防止滤波器的输入对“干净”的滤波器输出线产生干扰,降低滤波器的效果,滤波器的安装建议图如图18所示。

90554650-ba9c-11ee-8b88-92fbcf53809c.jpg

图 18 滤波器进出线不能太近

正弦波滤波器,就是将变频器SPWM调制波滤成近似正弦的电压波形,由于变频器的输出含有高频谐波,增加了动力电缆及电机的损耗;同时极高的dv/dt会引起数MHz的辐射干扰;如果电机需要长线传输时(电机线缆超过50米),回波反射引起电机端电压叠加,使电机绝缘破坏,导致电机的烧毁。

正弦波滤波器将变频器的输出波形滤波成正弦波后,延长了电机电缆的最大长度,降低了变频器的干扰,正弦波滤波器可以延长电机寿命、保护电机绝缘、对电磁干扰的抑制效果好。

抗干扰磁环,又称铁氧体磁环,简称磁环,它是电子电路中常用的抗干扰元件,对于高频噪声有很好的抑制作用。

磁环的匝数越多抑制低频干扰效果越好,但抑制高频噪声作用较弱。

在实际使用当中,磁环匝数要根据干扰电流频率特点进行调整。当干扰信号频带较宽时,可以在电缆上套两个磁环,每个磁环绕不同的匝数,这样可以同时用一种磁环抑制高频和低频两种干扰。并不是阻抗越大对干扰信号的抑制效果越好,因为实际磁环上存在寄生电容,这个寄生电容与电感并联,但遇到高频干扰信号时,这个寄生电容就会将磁环的电感短路,从而失去作用。

选择抗干扰磁环时,主要考虑两个方面的因素,即磁环的阻抗特性和被滤波电路的干扰特性。外观上来看,优先的选择是尽量长、尽量厚、内径尽量小、电感尽量小的磁环。

使用磁环的最大优点是与被滤波的电路没有电气连接,最大缺点是磁环易碎,所以建议使用带塑胶外壳的磁环,并且固定在被滤波的电源线或控制线缆上。

根据干扰信号的频率特点可以选用镍锌铁氧体或锰锌铁氧体的磁环,前者的高频特性优于后者,锰锌铁氧体的磁导率在几千~上万,而镍锌铁氧体为几百~上千,磁环铁氧体的磁导率越高,其低频时的阻抗越大,高频时的阻抗越小,所以在抑制高频干扰时,宜选用镍锌铁氧体,反之则用锰锌铁氧体。

审核编辑:汤梓红

温馨提示:以上内容整理于网络,仅供参考,如果对您有帮助,留下您的阅读感言吧!
相关阅读
本类排行
相关标签
本类推荐

CPU | 内存 | 硬盘 | 显卡 | 显示器 | 主板 | 电源 | 键鼠 | 网站地图

Copyright © 2025-2035 诺佳网 版权所有 备案号:赣ICP备2025066733号
本站资料均来源互联网收集整理,作品版权归作者所有,如果侵犯了您的版权,请跟我们联系。

关注微信