全球最实用的IT互联网信息网站!

AI人工智能P2P分享&下载搜索网页发布信息网站地图

当前位置:诺佳网 > 电子/半导体 > EMC/EMI设计 >

接地后EMI干扰反而更严重的原因

时间:2022-10-26 14:47

人气:

作者:admin

标签:

导读:接地后EMI干扰反而更严重的原因-电路中的电流回路,往往会被多个模块共享。 理想的电流回路的阻抗为0,这样在整个频谱范围内,回路中这处和那处的电势差为0. 但是实际上,所有的...

接地通常被认为能够控制EMI。但是,有时候,虽然精心设计了接地,但是发现接地后,反而EMI性能更差了。 也就是说,接地没有解决问题,反而自己成为了接地的一部分。   安培定理告诉我们,电流是一个环路,总是会回到源头。 电流还可能会分成几个回路,然后再最终都回到源头。而每个回路上电流幅度的大小,与岔路本身的阻抗相关。 另外,一些不想要的电流,比如因为电源故障,闪电等产生的电流,也会从这些回路流过。

  电路中的电流回路,往往会被多个模块共享。 理想的电流回路的阻抗为0,这样在整个频谱范围内,回路中这处和那处的电势差为0. 但是实际上,所有的导体都会有阻抗。   不管什么时候,当电流流过具有阻抗的导体时,在导体上就会产生压降,进而产生共模电流,造成干扰。这种干扰耦合机制,称为共模耦合。   当我看到上面标红的句子时,刚开始我是不明白的。 不过,当我看了下面的内容后,再回过来看这句话,就懂了。所以看不懂,别着急,先放着,然后继续往下看。   举个下图的例子,来说明一下为啥。  

f6eac0de-54ea-11ed-a3b6-dac502259ad0.png

两个单端的电路,假设他们具有相同的电流参考回路,两个电路的回流都经过这个相同的路径。其中一个电路,噪声比较大;而另一个电路,噪声小,易受影响。 回路的阻抗用ZG来表示,这个值,包括电阻和电抗(通常情况下,是感抗)。  

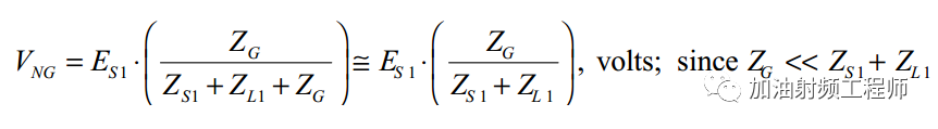
基尔霍夫电压定律,告诉我们,环路上所有电压的和为0. 所以,可以得到:  

f70f75be-54ea-11ed-a3b6-dac502259ad0.png

这个由电路1在回路上产生的电压,对于电路2而言,可以看成第二个电压源,进而在电路2的负载上产生了干扰电压Vi2。  

f730ace8-54ea-11ed-a3b6-dac502259ad0.png

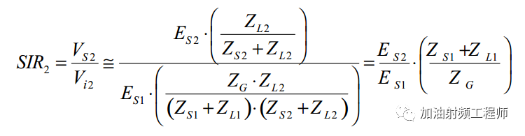
也就是说,电路1中的噪声比较大的电流,流过Ground时,这个噪声也被电路2感知到了。   最终,电路2的性能和ZL2上的SIR相关,所谓SIR,是signal to interference ratio的英文缩写。  

f74bec92-54ea-11ed-a3b6-dac502259ad0.png

从上述式子可以看到,SIR和回流路径的阻抗相关,越小,则SIR越大。 所以回流路径阻抗,会导致产生共模电流,进而产生干扰。   再举个实例。  

f7799052-54ea-11ed-a3b6-dac502259ad0.png

如上图所示,两个单端电路被单根导线相连,然后有一个GND作为信号参考以及回流路径。  

这种结构的缺点很明显,由上面的分析可以知道,如果有噪声在ZG上产生噪声电压VG,这个噪声电压就会对电路产生影响。 比如说,一俩汽车,它的金属外壳,通常是作为电源电流的回流路径,让电流回到汽车电池的负端。 一般来说,当汽车启动引擎时,会产生很大的瞬态电流,这些电流会流经回流路径。这些瞬态电流会在回流路径的A处和B处产生电势差。这个电势差,则会影响接收端的性能。  

因此,如果因为接地而产生干扰耦合,主要是由于下面三个因素: (1) 公共回流路径的非零阻抗 (2) 多个系统共享一个公共回流路径 (3) 电路的容错度比较低

参考文献:Elya B. Joffe,Kai-Sang Lock。Grounds for grounding A circuit-to-System Handbook

编辑:黄飞

 

温馨提示:以上内容整理于网络,仅供参考,如果对您有帮助,留下您的阅读感言吧!
相关阅读
本类排行
相关标签
本类推荐

CPU | 内存 | 硬盘 | 显卡 | 显示器 | 主板 | 电源 | 键鼠 | 网站地图

Copyright © 2025-2035 诺佳网 版权所有 备案号:赣ICP备2025066733号
本站资料均来源互联网收集整理,作品版权归作者所有,如果侵犯了您的版权,请跟我们联系。

关注微信