全球最实用的IT互联网信息网站!

AI人工智能P2P分享&下载搜索网页发布信息网站地图

当前位置:诺佳网 > 电子/半导体 > 可编程逻辑 >

索引的底层实现详解

时间:2023-10-09 10:26

人气:

作者:admin

标签:

导读:说一说索引的底层实现? Hash索引 基于哈希表实现,只有精确匹配索引所有列的查询才有效,对于每一行数据,存储引擎都会对所有的索引列计算一个哈希码(hashcode),并且Hash索引将...

说一说索引的底层实现?

Hash索引

基于哈希表实现,只有精确匹配索引所有列的查询才有效,对于每一行数据,存储引擎都会对所有的索引列计算一个哈希码(hashcode),并且Hash索引将所有的哈希码存储在索引中,同时在索引表中保存指向每个数据行的指针。

图片

B-Tree索引(MySQL使用B+Tree)

B-Tree能加快数据的访问速度,因为存储引擎不再需要进行全表扫描来获取数据,数据分布在各个节点之中。

图片

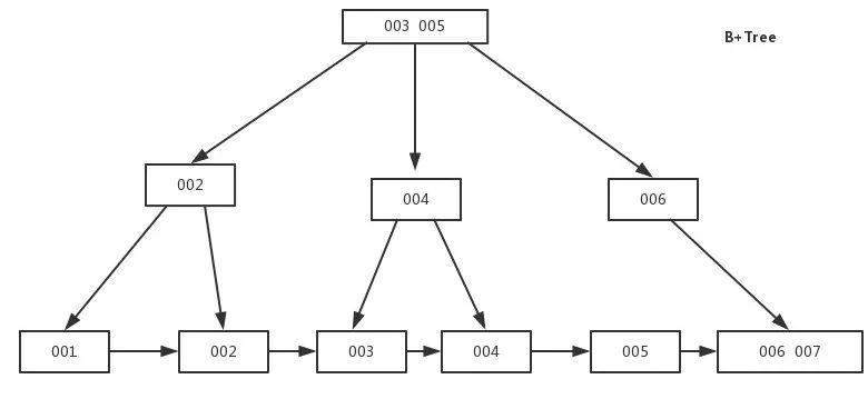
B+Tree索引

是B-Tree的改进版本,同时也是数据库索引索引所采用的存储结构。数据都在叶子节点上,并且增加了顺序访问指针,每个叶子节点都指向相邻的叶子节点的地址。相比B-Tree来说,进行范围查找时只需要查找两个节点,进行遍历即可。而B-Tree需要获取所有节点,相比之下B+Tree效率更高。

B+tree性质:

n棵子tree的节点包含n个关键字,不用来保存数据而是保存数据的索引。

所有的叶子结点中包含了全部关键字的信息,及指向含这些关键字记录的指针,且叶子结点本身依关键字的大小自小而大顺序链接。

所有的非终端结点可以看成是索引部分,结点中仅含其子树中的最大(或最小)关键字。

B+ 树中,数据对象的插入和删除仅在叶节点上进行。

B+树有2个头指针,一个是树的根节点,一个是最小关键码的叶节点。

图片

温馨提示:以上内容整理于网络,仅供参考,如果对您有帮助,留下您的阅读感言吧!
相关阅读
本类排行
相关标签
本类推荐

CPU | 内存 | 硬盘 | 显卡 | 显示器 | 主板 | 电源 | 键鼠 | 网站地图

Copyright © 2025-2035 诺佳网 版权所有 备案号:赣ICP备2025066733号
本站资料均来源互联网收集整理,作品版权归作者所有,如果侵犯了您的版权,请跟我们联系。

关注微信