全球最实用的IT互联网信息网站!

AI人工智能P2P分享&下载搜索网页发布信息网站地图

当前位置:诺佳网 > 电子/半导体 > 可编程逻辑 >

你知道XGBoost背后的数学原理是什么吗?

时间:2018-08-22 08:59

人气:

作者:admin

标签:

导读:在第一种方法的基础上,每走过特定数量的台阶,都由韩梅梅去计算每一个台阶的损失函数值,并从中找出局部最小值,以免错过全局最小值。每次韩梅梅找到局部最小值,她就发个信...

编者按:说到Kaggle神器,不少人会想到XGBoost。一周前,我们曾在“从Kaggle历史数据看机器学习竞赛趋势”介绍过它的“霸主地位”:自提出后,这种算法在机器学习竞赛中被迅速普及,并被多数夺冠模型视为训练速度、最终性能提升的利器。那么,你知道XGBoost背后的数学原理是什么吗?

好奇的李雷和韩梅梅

李雷和韩梅梅是形影不离的好朋友,一天,他们一起去山里摘苹果。按照计划,他们打算去摘山谷底部的那棵大苹果树。虽然韩梅梅聪明而富有冒险精神,而李雷有些谨慎和迟钝,但他们中会爬树的只有李雷。那么他们的路径是什么呢?

如上图所示,李雷和韩梅梅所在的位置是a点,他们的目标苹果树位于g点。山里环境复杂,要怎么做才能确定自己到了山谷底部呢?他们有两种方法。

1.由韩梅梅计算“a”点的斜率,如果斜率为正,则继续朝这个方向前进;如果为负,朝反方向前进。

斜率给出了前进的方向,但没有说明他们需要朝这个方向移动多少。为此,韩梅梅决定走几步台阶,算一下斜率,确保自己不会到达错误位置,最终错过大苹果树。但是这种方法有风险,控制台阶多少的是学习率,这是个需要人为把控的值:如果学习率过大,李雷和韩梅梅很可能会在g点两侧来回奔走;如果学习率过小,可能天黑了他们都未必摘得到苹果。

听到可能会走错路,李雷不乐意了,他不想绕远路,也不愿意错过回家吃饭的时间。看到好友这么为难,韩梅梅提出了第二种方法。

2.在第一种方法的基础上,每走过特定数量的台阶,都由韩梅梅去计算每一个台阶的损失函数值,并从中找出局部最小值,以免错过全局最小值。每次韩梅梅找到局部最小值,她就发个信号,这样李雷就永远不会走错路了。但这种方法对女孩子不公平,可怜的韩梅梅需要探索她附近的所有点并计算所有这些点的函数值。

XGBoost的优点在于它能同时解决以上两种方案的缺陷。

梯度提升(Gradient Boosting)

很多梯度提升实现都会采用方法1来计算目标函数的最小值。在每次迭代中,我们利用损失函数的梯度训练基学习器,然后用预测结果乘上一个常数,将其与前一次迭代的值相加,更新模型。

它背后的思路就是在损失函数上执行梯度下降,然后用基学习器对其进行拟合。当梯度为负时,我们称它为伪残差,因为它们依然能间接帮助我们最小化目标函数。

XGBoost

XGBoost是陈天奇在华盛顿大学求学期间提出的成果。它是一个整体加法模型,由几个基学习器共同构成。

那么,我们该如何在每次迭代中选择一个函数?这里可以用一种最小化整体损失的方法。

在上述梯度提升算法中,我们通过将基学习器拟合到相对于先前迭代值的损失函数的负梯度,在每次迭代时获得ft(xi)。而在XGBoost中,我们只探索几个基学习器或函数,选择其中一个计算最小值,也就是韩梅梅的方法2。

如前所述,这种方法有两个问题:

探索不同的基学习器;

计算所有基学习器的损失函数值。

XGBoost在计算基学习器ft(xi)最小值的,使用的方法是泰勒级数逼近。比起计算精确值,计算近似值可以大大减轻韩梅梅的工作量。

虽然上面只展开到二阶导数,但这种近似程度就足够了。对于任意ft(xi),第一项C都是常数。gi是前一次迭代中损失的一阶导数,hi是其二阶导数。韩梅梅可以在探索其他基学习器前直接计算gi和hi,这就成了一个简单的乘法问题,计算负担大大减轻了,不是吗?

解决了损失函数值的问题,我们还要探索不同的基学习器。

假设韩梅梅更新了一个具有K个叶子节点的基学习器ft。设Ij是属于节点j的实例集合,wj是该节点的预测。因此,对于Ij中的实例i,我们有ft(xi)=wj。所以我们在上式中用代入法更新了L(t)的表达式。更新后,我们就能针对每个叶子节点的权重采用损失函数的导数,以获得最优权重。

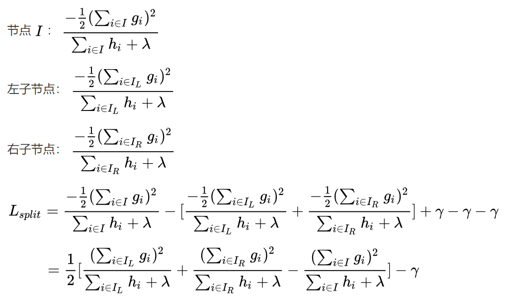
以上就是对于具有K个叶子节点的基学习器的最佳损失。考虑到这样的节点会有上百个,一个个探索它们是不现实的。

所以让我们来看韩梅梅的情况。她现在已经知道如何使用泰勒展开来降低损失计算量,也知道了什么是叶子节点中的最佳权重。唯一值得关注的是如何探索所有不同的树结构。

XGBoost不会探索所有可能的树结构,它只是贪婪地构建一棵树,选择导致最大损失的方法,减少分叉。在上图中,树从节点I开始,根据标准,节点分为左右分叉。所以我们的实例一部分被放进了左侧的叶子节点,剩下的则去了右侧的叶子节点。现在,我们就可以计算损失值并选择导致损失减少最大的分叉。

解决了上述问题后,现在韩梅梅就只剩下一个问题:如何选择分叉标准?XGBoost使用不同的技巧来提出不同的分割点,比如直方图。对于这部分,建议去看论文,本文不再作解释。

XGBoost要点

虽然梯度提升遵循负梯度来优化损失函数,但XGBoost计算每个基学习器损失函数值用的是泰勒展开。

XGBoost不会探索所有可能的树结构,而是贪婪地构建一棵树。

XGBoost的正则项会惩罚具有多个叶子节点的树结构。

关于选择分叉标准,强烈建议阅读论文:arxiv.org/pdf/1603.02754.pdf

温馨提示:以上内容整理于网络,仅供参考,如果对您有帮助,留下您的阅读感言吧!
相关阅读
本类排行
相关标签
本类推荐

CPU | 内存 | 硬盘 | 显卡 | 显示器 | 主板 | 电源 | 键鼠 | 网站地图

Copyright © 2025-2035 诺佳网 版权所有 备案号:赣ICP备2025066733号
本站资料均来源互联网收集整理,作品版权归作者所有,如果侵犯了您的版权,请跟我们联系。

关注微信