全球最实用的IT互联网信息网站!

AI人工智能P2P分享&下载搜索网页发布信息网站地图

当前位置:诺佳网 > 电子/半导体 > 可编程逻辑 >

LLC半桥谐振电路工作情况解析

时间:2017-12-12 09:15

人气:

作者:admin

标签:

导读:LLC半桥谐振电路中,根据这个谐振电容的不同联结方式,典型LLC谐振电路有两种连接方式,如下图1所示。不同之处在于LLC谐振腔的连接,左图采用单谐振电容(Cr),其输入电流纹波和...


【LLC众筹】张飞带你60小时精通半桥LLC开关电源教程,最后6天 => http://z.elecfans.com/250.html?elecfans_trackid=bd


LLC技术已经普及了,再不会就要落后啦!

LLC半桥谐振电路中,根据这个谐振电容的不同联结方式,典型LLC谐振电路有两种连接方式,如下图1所示。不同之处在于LLC谐振腔的连接,左图采用单谐振电容(Cr),其输入电流纹波和电流有效值较高,但布线简单,成本相对较低;右图采用分体谐振电容(C1, C2),其输入电流纹波和电流有效值较低,C1和C2上分别只流过一半的有效值电流,且电容量仅为左图单谐振电容的一半。

LLC半桥谐振电路基 本原理

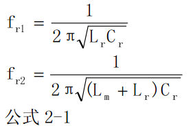
LLC谐振变换的直流特性分为零电压工作区和零电流工作区。这种变换有两

个谐振频率。一个是Lr 和Cr的谐振点,另外一个谐振点由Lm, Cr以及负载条

件决定。负载加重,谐振频率将会升高。这两个谐振点的计算公式如下:

考虑到尽可能提高效率,设计电路时需把工作频率设定在fr1附近。其中,fr1为Cr,Lr串联谐振腔的谐振频率。当输入电压下降时,可以通过降低工作频

率获得较大的增益。通过选择合适的谐振参数,可以让LLC谐振变换无论是负载变化或是输入电压变化都能工作在零电压工作区。

总体来说LLC半桥谐振电路的开关动作和半桥电路无异,但是由于谐振腔的加入,LLC半桥谐振电路中的上下MOSFET工作情况大不一样,它能实现MOSFET零电压开通。其工作波形图如下:

上图为理想半桥谐振电路工作波形图;图中,Vgs1 和 Vgs2 分别是 Q1、Q2

的驱动波形,Ir为谐振电感Lr电感电流波形,Im为变压器漏感Lm电流波形,Id1和Id2分别是次级侧输出整流二级管波形,Ids1则为Q1导通电流。波形图根据不同工作状态被分成6个阶段,下面具体分析各个状态,LLC谐振电路工作情况:

T0~ T1: Q1关断、Q2开通;这个时候谐振电感上的电流为负,方向流向Q2。在此阶段,变压器漏感不参加谐振, Cr、Lr组成了谐振频率,输出能量来自于Cr和Lr。这个阶段随着Q2关断而结束。下图3为LLC半桥谐振电路在T0~ T1工作阶段各个元器件工作状态。

T1~ T2:Q1关断、Q2关断;此时为半桥电路死区时间,谐振电感上的电流仍为负,谐振电流对Q1的输出电容(Coss)进行放电,并且对Q2的输出电容(Coss)进行充电,直到Q2的输出电容的电压等于输入电压(Vin),为Q1下次导统创造零电压开通的条件。由于Q1体二级管此是出于正向偏置,而Q2的体二级管示反相偏置,两个电感上的电流相等。输出电压比变压器二次侧电压高,D1、D2处于反偏状态,所以输出端与变压器脱离。此阶段,Lm和Lr、Cr一同参加谐振。随着Q1开通,T1~ T2阶段结束。下图4为LLC半桥谐振电路在T1~ T2工作阶段各个元器件工作状态。

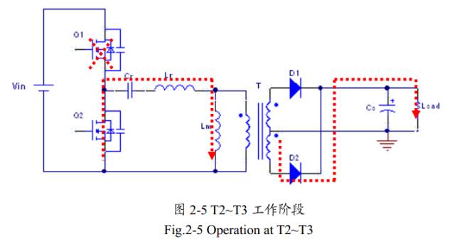
T2~ T3: Q1开通、Q2关断(一旦Q1的输出电容被放电放到零时)。此时谐振电感上的电流仍旧为负,电流经Q1的体二级管流回输入端(Vin)。同时,输出整流二级管(D1)导通,为输出端提供能量。变压器漏感(Lm)在此阶段被持续充电。只有Lr和Cr参与谐振。一旦谐振电感Lr上的电流为零时,T2~ T3阶段结束。下图5为LLC半桥谐振电路在T2~ T3工作阶段各个元器件工作状态。

T3~ T4:此阶段始于谐振电感Lr电流变负为正,Q1开通、Q2关断,和T2~T3阶段一样。谐振电感电流开始从输入端经Q1流向地。变压器漏感Lm此时被此电流充电,因此参加谐振的器件只有Lr 和Cr。输出端仍由D1来传输能量。随着Q1关断,T3~ T4阶段结束。下图2-6为LLC半桥谐振电路在T3~ T4工作阶段各个元器件工作状态。

T4~ T5:Q1关断,Q2关断;此时为半桥电路死区时间。此时,谐振电感电流对Q1的输出电容Coss进行充电,并对Q2的输出电容Coss进行放电直到Q2上输出电容电压为零,导通Q2的体二级管,为Q2零电压开通创造条件。在此期间,变压器二次侧跟T1~ T2阶段一样,脱离初级侧。在死去时间,变压器漏感Lm参与谐振。此阶段随着Q2开通而结束。下图7为LLC半桥谐振电路在T4~ T5工作阶段各个元器件工作状态。

T5~ T6:Q1关断,Q2导通。由于T4~ T5阶段中Q2的输出电容已经被放电至零,因此T5~ T6阶段Q2以零电压开通。能量由谐振电感Lr经Q2续流,输出端由D2提供能量。此时,Lm不参与Lr和Cr的谐振。此阶段随着谐振电感Lr电流变为零而结束,重复T0~ T1状态。下图8为LLC半桥谐振电路在T5~ T6工作阶段各个元器件工作状态。

由以上工作状态可以看出,除了Q1、Q2死区时间外,绝大多数时间,电路都可以工作在由Lr和Cr构成的较高的谐振频率。这种情况下,变压器漏电感由于被输出电压所钳位,因此,它会作为Lr,Cr串联谐振腔的负载形式存在,而不参与整个谐振过程。由于这个被动负载,LLC谐振变换轻载稳压可以不再需要很高频率。而且,由于这个被动Lm负载,可以保证在任何负载情况下都能工作在零电压开关状态下。







温馨提示:以上内容整理于网络,仅供参考,如果对您有帮助,留下您的阅读感言吧!
相关阅读
本类排行
相关标签
本类推荐

CPU | 内存 | 硬盘 | 显卡 | 显示器 | 主板 | 电源 | 键鼠 | 网站地图

Copyright © 2025-2035 诺佳网 版权所有 备案号:赣ICP备2025066733号
本站资料均来源互联网收集整理,作品版权归作者所有,如果侵犯了您的版权,请跟我们联系。

关注微信